Go的GMP机制

深入理解Go的GMP并发调度模型

聊到Go语言,大家最津津乐道的可能就是它那"天生强大"的并发能力了。一个简单的 go 关键字,就能开启一个并发执行单元,这酸爽,谁用谁知道。但是,你有没有想过,这背后到底藏着什么样的魔法?为什么Go的并发可以如此轻盈、如此高效?

答案,就藏在它核心的 GMP调度模型里。

🧠 了解基础概念

🧵 从线程到协程

在聊GMP之前,我们得先搞明白两个老朋友:线程(Thread)协程(Coroutine)

线程与协程的对比
  • 线程(Thread):这家伙是操作系统的大内总管——内核(Kernel)眼里的最小执行单元。它的生老病死、工作调度,全得听内核的号令。你可以把它想象成一个正式工,有编制,但每次调度(切换)都得走一套复杂的流程,成本比较高。

  • 协程(Coroutine):这家伙更像是用户自己请的临时工。它活在用户态,比线程更轻量,可以理解为用户态线程。多个协程可以在一个线程上跑,它们的调度切换由用户程序自己说了算,不用去麻烦内核这个大忙人。所以,协程的切换开销极小,非常灵活。

简单总结一下:线程是内核级的,重而稳;协程是用户级的,轻而快。

🚀 goroutine

Go语言选择的并发实现,就是我们所熟知的 goroutine。你可以把它看作是Go对协程的"超级魔改版"。它并不是一个孤立的概念,而是整个 GMP调度体系 的核心产物。

image-3

正是因为有了GMP这套精妙的架构,goroutine才拥有了超越原生协程的两大核心优势:

  1. 灵活的调度:G(goroutine)、M(Machine,内核线程)、P(Processor,处理器)三者之间可以动态地绑定和解绑,整个调度过程充满了弹性。Go runtime 负责调度,上下文切换延迟 0.2 微秒(线程 1-2 微秒),仅保存必要寄存器状态。

  2. 动态的栈空间:每个goroutine的栈空间可以根据需要自动伸缩,既方便使用,又极大地节约了内存资源。初始栈空间 2KB(线程 1MB+),支持百万级创建,启动销毁成本低。

更牛的是,Go语言在顶层完全屏蔽了线程这个概念,所有的并发操作都是围绕着goroutine来的,就像秦始皇统一了度量衡,Go也用goroutine统一了并发江湖的秩序。

💻 具体使用

在具体使用上调用函数的时候在前面加上go关键字,就可以为一个函数创建一个goroutine。

 1
 2
 3
 4
 5
 6
 7
 8
 9
10
11
12
13
14
15
16
17
18
19
func hello() {
    fmt.Println("Hello Goroutine!")
}

func main() {
    hello()
    fmt.Println("main goroutine done!")
}

func main1() {
    go hello() // 启动一个goroutine去执行hello函数
    fmt.Println("main goroutine done!")
}

func main2() {
    go hello()
    fmt.Println("main goroutine done!")
    time.Sleep(time.Second) // 等待hello函数返回
}

在程序启动时,Go程序就会为main()函数创建一个默认的goroutine。当main()函数返回的时候该goroutine就结束了,所有在main()函数中启动的goroutine会一同结束,所以在实际使用goroutine时需要特别注意其调度。

⛔ 什么时候会阻塞

goroutine 的阻塞和线程阻塞不是一回事。很多场景下,被挂起的是当前 goroutine,不是整个 OS 线程,这也是 Go 并发模型高效的关键之一。常见阻塞场景包括:

  • channel 发送或接收:无缓冲 channel 没有配对方,或者有缓冲 channel 已满 / 已空时,当前 goroutine 会阻塞。
  • 系统调用与 I/O:例如文件 I/O、网络 I/O、阻塞式 syscall。
  • 等待锁:例如等待 sync.Mutex
  • 显式休眠:调用 time.Sleep
  • 主动让出 CPU:调用 runtime.Gosched()

这些阻塞点最终都会回到 Go runtime 的调度体系中处理,所以从效果上看,Go 能做到“一个 goroutine 挂起,其他 goroutine 继续跑”。

如果把这件事再说得更“调度器视角”一点,常见触发调度的时机就是四类:等待无缓冲 channel 的读写配对、因为 time.Sleep() 进入休眠、等待互斥锁释放,以及进入系统调用。它们本质上都会让当前 G 暂时离开 CPU,把执行权交还给调度器。

在循环中创建goroutine时需要尤其注意,goroutine 会捕获循环变量的引用,而非值。若循环内未正确处理,所有 goroutine 可能最终使用同一变量的最终值(而非各自迭代时的值)。

解决方案

  • 通过参数传递数据到协程
 1
 2
 3
 4
 5
 6
 7
 8
 9
10
11
12
func hello(i int) {
    fmt.Println("Hello Goroutine!", i)
}

func main() {
    for i := 0; i < 10; i++ {
        go func(idx int) {
            hello(idx)
        }(i)
    }
    time.Sleep(time.Second)
}
  • 定义临时变量
 1
 2
 3
 4
 5
 6
 7
 8
 9
10
11
12
13
func hello(i int) {
    fmt.Println("Hello Goroutine!", i)
}

func main() {
    for i := 0; i < 10; i++ {
        val := i
        go func() {
            hello(val)
        }()
    }
    time.Sleep(time.Second)
}

⏳ 生命周期

从调度视角看,goroutine 的生命周期可以概括为五个阶段:

  1. 创建:分配初始栈空间,初始化状态和调度信息。
  2. 运行:被某个 P 选中后,在绑定的 M 上执行。
  3. 阻塞:等待 channel、锁、网络 I/O 等资源时让出 CPU。
  4. 唤醒:等待条件满足后重新进入可运行队列,继续参与调度。
  5. 销毁:执行完成或异常退出后回收栈和状态对象,等待复用。

更细一点看,goroutine 通常会经历“创建 -> 可运行 -> 运行 -> 阻塞 / 再次可运行 -> 销毁”这样的状态流转。它不会一直绑定某个线程,而是交给调度器动态安排。

⚠️ panic 与 recover

goroutine 里出现 panic 时,首先终止的是当前 goroutine,但如果这个 panic 没有被 recover,最终仍然会导致整个进程退出。因此,实际工程里通常建议在关键子协程的入口处做好兜底恢复。

1
2
3
4
5
6
7
8
9
go func() {
    defer func() {
        if r := recover(); r != nil {
            log.Println("goroutine panic:", r)
        }
    }()

    // do something risky
}()

这里还有两个容易忽略的点:

  • 子 goroutine 里的 panic 不会自动被其他 goroutine 处理,必须在它自己的调用栈里 recover
  • WaitGroup 只能等待结束,不能处理 panic
  • 如果原函数已经 panic,而 defer 里又发生新的 panic,后者会覆盖前者,最终看到的是 defer 里的异常。

📏 栈增长机制

goroutine 之所以轻量,很大一部分原因就在栈。

  • 默认初始栈很小:Go 1.19+ 的 64 位系统上,goroutine 初始栈通常为 2 KB,32 位系统通常为 1 KB
  • 栈是动态伸缩的:随着函数调用加深、局部变量变多,runtime 会在栈不足时分配更大的新栈,并把活跃栈帧迁移过去。
  • 扩栈通常按倍数增长:常见做法是扩到原来的 2 倍,避免频繁扩容。
  • 线程栈通常是固定大栈:OS 线程往往在创建时就预留 1 MB2 MB 级别的栈空间,而 goroutine 不需要一开始就占这么多内存。

也正因为 goroutine 的初始成本低、切换主要发生在用户态,所以 Go 才能在一个进程里轻松承载海量并发任务。

⚙️ 调度模型

线程模型:根据运行的环境和调度者的身份,线程可分为用户级线程和内核级线程,用户级线程在用户态创建、同步和销毁,由线程库来调度。内核级线程则运行在内核空间,由内核来调度,在有的系统上也称为LWP(轻量级进程)。当进程的一个内核级线程获得CPU的使用权时,它就加载并运行一个用户级线程,可见,内核级线程相当于用户级线程的容器,一个进程可以拥有M个用户级线程和N个内核级线程。按照M:N的取值,可分为三种线程模型

  • N:1 模型:即N个协程对应1个内核级线程。该模型完全在用户空间实现,线程库负责管理所有的执行线程,比如线程的优先级、时间片等。线程库利用longjmp来切换线程的执行,使得看起来像是并发执行,但实际上内核仍然是把整个进程作为最小单元调度的,该进程的所有执行线程共享进程的时间片,对外表现出相同的优先级。
    • 优点:线程切换在用户态完成,创建和调度线程都无需内核的干预,不会对系统性能造成明显的影响
    • 缺点
      • 对于多处理器系统,一个进程的多个线程无法运行在不同的CPU上,无法充分利用CPU多核的算力。
      • 1个进程的所有协程都绑定在1个线程上,一旦某协程阻塞,造成线程阻塞,本进程的其他协程都无法执行了,无并发能力
  • 1:1 模型:即每个用户级线程对应一个内核级线程例如 Java Thread 。该模型完全由内核创建和调度线程,用户空间的线程库不需要进行进程管理。
    • 优点:充分利用CPU的算力资源,支持多核
    • 缺点:开销大,线程切换要陷入内核导致线程上下文切换较慢,数量上限受内核限制
  • N:M 模型:即前两种模型的结合,M个用户线程对应N个内核级线程的双层调度模式。该模式内核调度M个内核线程,线程库调度N个用户线程。Go语言采用这种模型
    • 优点:充分结合前两种模式的优点,不但不过分消耗内核资源,而且线程切换速度也比较快,充分利用多处理器的优势
    • 缺点:该模型的调度算法复杂。
不同线程模型的对比

🕰️ Go1.1之前的GM模型

在 Go 1.1版本之前,其实用的就是GM模型。

  • G:协程,通常在代码里用 go 关键字执行一个方法,那么就等于起了一个 G
  • M,内核线程,操作系统内核其实看不见 GP ,只知道自己在执行一个线程。GP 都是在用户层上的实现。

除了 GM 以外,还有一个全局协程队列,这个全局队列里放的是多个处于可运行状态GM 如果想要获取 G ,就需要访问一个全局队列。同时,内核线程M是可以同时存在多个的,因此访问时还需要考虑并发安全问题。因此这个全局队列有一把全局的大锁,每次访问都需要去获取这把大锁。并发量小的时候还好,当并发量大了,这把大锁,就成为了性能瓶颈

🏗️ GMP 架构全景图

好了,主角登场!GMP,顾名思义,就是 Goroutine + Machine + Processor。

从协程到goroutine
  • G(Goroutine):就是我们的"任务单元"。它有自己的执行栈、生命状态,以及要完成的具体工作(就是你 go 后面跟的那个函数)。GG 并非执行体,需要绑定到M上才能运行,你可以把M想象成G的CPU。

  • M(Machine):你可以把它看作Go对系统线程的封装,是真正干活的"工人"。作为OS 线程抽象,代表着真正执行计算的资源,由内核进行调度。M需要和P"绑定"后,才能进入GMP的调度循环。M的工作很简单,就是在g0(一个特殊的goroutine,负责调度)和普通的G之间反复横跳:执行g0时,它在找任务;执行普通G时,它在处理任务。

  • P(Processor):P是调度器,是GMP模型中的"中枢大脑"。M必须获取到一个P,才能开始调度和执行G。P的数量决定了同一时间最多有多少个M可以处于运行状态,这个数量通常由 GOMAXPROCS 环境变量决定。但是不论 GOMAXPROCS 设置为多大,P的数量最大为256个。P还有一个非常重要的职责:它自带一个本地的goroutine队列,我们称之为 LRQ (Local Run Queue)

✨ GMP 的核心优势

从更高一层看,GMP 的价值不只是“能调度 goroutine”,而是它把 Go 的高并发能力建立在了一个成本更低、控制力更强的运行时模型上:

  • 轻量级调度:goroutine 的切换主要发生在用户态,通常只需要保存和恢复少量寄存器信息,开销远小于线程切换。
  • 用户态调度:调度逻辑主要由 Go runtime 自己完成,不需要每次都陷入内核,因此更灵活,也减少了系统调用带来的成本。
  • 多核并行能力:P 的数量通常由 GOMAXPROCS 控制,每个 P 在同一时刻都可以支撑一个 goroutine 真正并行执行。
  • 更适合高并发场景:海量 goroutine 可以复用少量线程运行,这也是 Go 能轻松承载成千上万并发任务的根本原因。

不过也要注意一点:对于 CPU 密集型任务,并发数并不是越大越好。GMP 能充分利用多核 CPU,但最优并发度通常仍然接近 CPU 核数,它真正擅长的场景还是“高并发 + 大量等待 / 阻塞”的任务模型。

🗃️ G、M、P 各自保存什么

如果把 GMP 看成一套调度系统,那么 G、M、P 三者各自维护的信息也非常不同:

  • G:保存 goroutine 的执行上下文,例如栈指针、程序计数器、运行状态,以及与调度相关的信息。
  • M:保存线程级上下文,例如线程 ID、当前运行的 G、绑定的 P,以及用于调度的 g0
  • P:保存调度资源,例如本地运行队列、计时器、内存分配上下文 mcache,以及部分 GC 相关状态。

换句话说,G 更像“任务”,M 更像“工人”,P 更像“调度中枢 + 资源容器”。三者拆开设计之后,Go runtime 才能同时做到高吞吐、低锁竞争和动态调度。

📊 G、M、P 的状态概览

除了组件职责不同,三者在运行时也有各自的状态机:

  • G 的常见状态_Gidle_Grunnable_Grunning_Gsyscall_Gwaiting_Gdead
  • M 的常见状态:运行中、空闲、自旋找活、陷入系统调用、被 GC 暂停等。
  • P 的常见状态_Pidle_Prunning_Psyscall_Pgcstop_Pdead

这些状态并不是孤立存在的。比如一个正在运行的 G 发起系统调用时,G 可能转入 _Gsyscall,对应的 M 进入 syscall 相关状态,P 则会被解绑并尝试转交给其他 M。后面你在源码部分看到的很多调度逻辑,本质上都是围绕这些状态切换展开的。

🧭 GMP 的工作流程

从流程上看,一个 goroutine 在 GMP 中的大致路径可以概括成下面几步:

  1. 程序启动:runtime 初始化 M0G0,并按 GOMAXPROCS 创建一组 P。
  2. 创建 G:执行 go func() 时,runtime 创建新的 G,并优先放入当前 P 的本地队列。
  3. 调度执行:M 绑定某个 P 后,从本地队列、全局队列、netpoll 或其他 P 的队列中取出可运行 G。
  4. 发生阻塞:如果 G 等待 I/O、锁、channel 或 syscall,它会让出执行权,调度器转去执行其他 G。
  5. 被重新唤醒:等待条件满足后,G 被重新放回可运行队列,再次参与调度。

这个流程听起来很简单,但它背后真正厉害的地方在于:队列是分层的、资源是可转移的、阻塞是可让渡的、长时间运行的任务还能被抢占。也正是这些设计共同组成了 Go 的并发调度能力。

可以把这套流程再压缩成一句话:M 必须先绑定 P 才能执行 G;每个 P 都维护自己的本地运行队列,长度上限是 256;当本地队列取空后,M 会按“本地队列 -> 全局队列 -> netpoll -> 其他 P 的本地队列”这个优先级继续找活,这就是 Go runtime 的典型调度路径。

GMP总览图
GMP架构全景图

提示

我们可以把GMP理解为一个任务调度系统.

  • G就是这个系统中所谓的 任务 ,是一种需要被分配和执行的"资源"
  • M就是这个系统中的"引擎",当M和P结合后,就限定了引擎的运行是围绕着GMP这条轨道进行的,使得引擎运行着两个周而复始、不断交替的步骤——寻找任务(执行g0),执行任务(执行g)
  • P就是这个系统中的"中枢",当其和作为"引擎" 的M结合后,才会引导引擎进入GMP的运行模式;同时 p 也是这个系统中存储"任务"的"容器",为"引擎"提供了用于执行的任务资源。

P和M的数量

  • P的数量:由启动时环境变量 $GOMAXPROCS 或者是由 runtime 的方法 **GOMAXPROCS()**决定。这意味着在程序执行的任意时刻都只有 $GOMAXPROCS 个goroutine在同时运行。
  • M的数量
    • go语言本身的限制:go程序启动时,会设置M的最大数量,默认10000.但是内核很难支持这么多的线程数,所以这个限制可以忽略。
    • runtime/debug中的 SetMaxThreads 函数,设置M的最大数量
    • 一个M阻塞了,会创建新的M。

P和M的创建时机

  • P 是在调度器初始化阶段统一创建出来的。runtime 会在 schedinit() 里调用 procresize(),按照 GOMAXPROCS 初始化 allp 数组;之后只有在显式调整 runtime.GOMAXPROCS() 时,P 的数量才会重新分配。
  • M 则是按需创建的。程序启动时先有 m0,后续如果发现没有空闲 M 可以绑定 P,或者已有 M 大量阻塞在 syscall 中,但系统里仍有可运行的 G,就会通过 startm()newm()newosproc() 拉起新的系统线程,最后从 mstart() 进入调度循环。

M0和G0

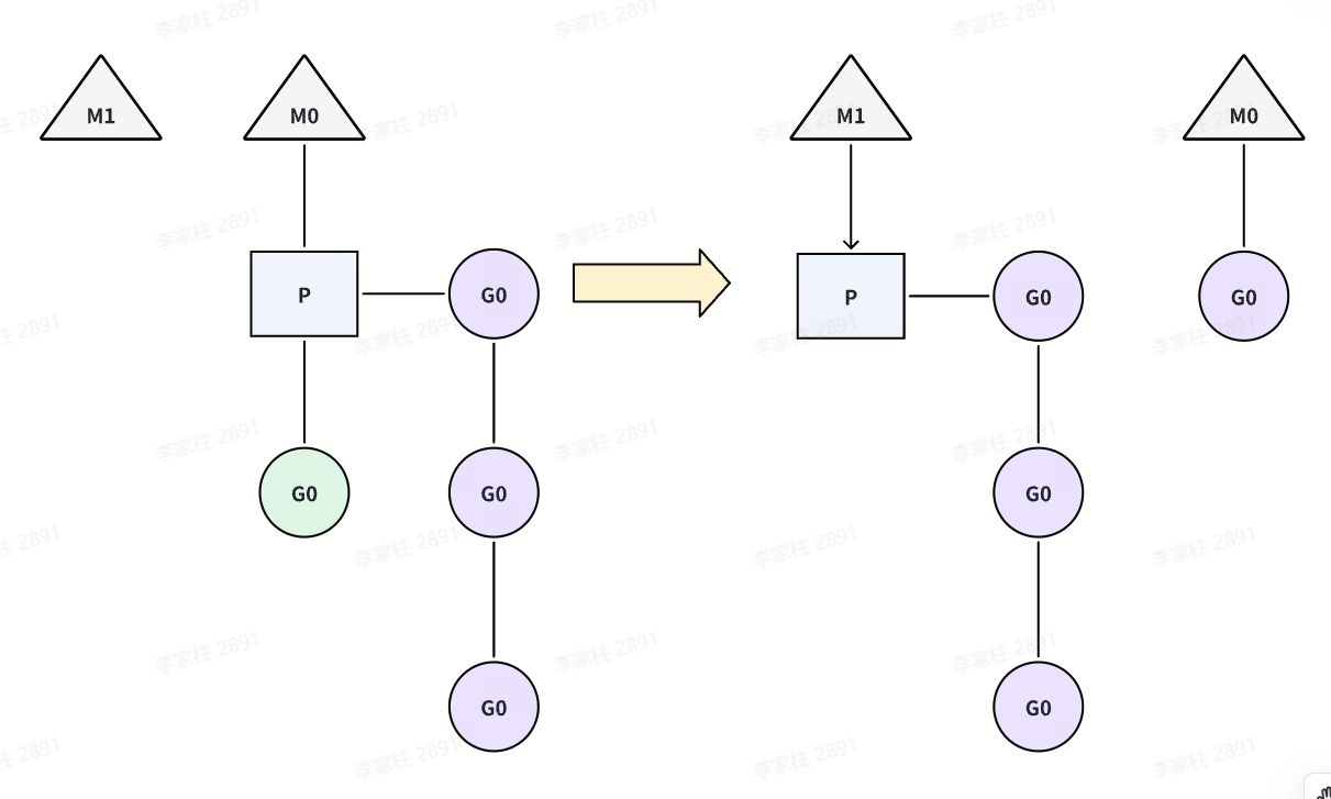
  • M0 是启动程序后的编号为0的主线程,这个M对应的实例会在全局变量 runtime.m0 中,不需要在heap上分配,M0负责执行初始化操作和启动第一个G(main), 在之后M0就和其他的M一样了。
  • G0 是每次启动一个M都会第一个创建的goroutine,G0仅用于负责调度的G,G0不指向任何可执行的函数, 每个M都会有一个自己的G0。在调度或系统调用时会使用G0的栈空间, 全局变量的G0是M0的G0
m0与启动流程示意图
GMP模型

上图中有三个工作线程M,每个工作线程M持有一个处理器P,并且每个M持有一个协程G正在运行。每个处理器P持有一个运行队列,包含待调度的协程G,除此以外,还会有一个全局的队列,包含待调度的协程,被多个处理器P共享。

通常而言,每个处理器P上的协程G,若要创建新的协程,新创建的协程会放入到本地的运行队列中。当本地的队列满了,或者阻塞的协程被唤醒,协程会被放到全局的队列中。处理器P除了会消费本地队列中的协程P以外,还会周期性的消费全局队列中的协程G,避免全局队列中的协程P"饿死"。

🗂️ 存放G的"容器"

现在,我们把目光聚焦到存放G的"容器"上。Go的设计非常巧妙,它有两种队列:

  1. P的本地队列(LRQ - Local Run Queue):这是每个P私有的G队列。当一个M想执行G时,会优先从自己绑定的P的LRQ里找。因为是私有的,所以大部分时间不需要加锁,通过高效的CAS(Compare-And-Swap)操作就能完成存取,大大减少了并发冲突。当然,也并非完全没有冲突,因为当一个P的LRQ空了的时候,它可能会从其他P的LRQ里"偷"一些G过来,这就是著名的 work-stealing 机制。

  2. 全局队列(GRQ - Global Run Queue):这是一个全局共享的G队列。当一个P的LRQ满了,新创建的G就会被放到GRQ里。因为是全局共享的,所以所有M都可能来访问,竞争激烈,因此访问它需要加一把全局大锁。

📥 G的存放与获取逻辑

G的存放与获取逻辑

  • 放G(put g):当你在一个goroutine里通过 go func(){...} 创建一个新的goroutine时,它会优先被放到当前P的LRQ里。如果LRQ满了,没办法,只能加个全局锁,把它扔到GRQ里去。这遵循的是"就近原则"。

  • 取G(get g):当M上的g0开始找活干时,它会遵循一个"负载均衡"的策略,按以下顺序来寻找G:

    1. 先从当前P的LRQ里找(无锁,速度最快)。

    2. 如果LRQ没有,就去全局GRQ里看看(需要加锁)。

    3. 如果GRQ也没有,就去网络轮询器(netpoll)里找找有没有因为IO操作而就绪的G。

    4. 每个协程中产生的新协程,会被优先调度到本地的运行队列中,因此可能会出现,部分处理器 P 本地队列很大,部分处理器本地队列很小甚至为空的情况。因此 go 调度器实现了当处理器 p 本地队列为空时,窃取别的队列中的协程 G 的策略(work-stealing,无锁)。从别的P的LRQ里偷一半过来。如图所示,M1 对应的本地队列为空,此时它会查看全局队列中是否有协程需要调度,如果也没有,则会从别的正在运行的 P 中窃取一半的协程 G,窃取结果如图所示。

    协程窃取
    1. 为避免某个协程长时间执行,而阻碍别的协程被调度,监控线程sysmons会监控每个协程的运行时间,一旦运行时间过长(超过10ms)且有其他协程在等待时,会将运行中的协程暂停,转而调度等待的协程,达到类似于时间片轮转的效果
    抢占式调度

每个处理器P维护一个待调度协程G的队列,依次调度协程G到M中执行。这里有个小细节:同时,每个P会周期性的查看全局队列中的待运行协程G,防止全局队列中的G长时间得不到调度机会而饿死。为了防止GRQ里的G被"饿死"(因为M上的g0总是优先从LRQ取),调度器规定,每进行61次调度循环,就必须强制去下一次去grq取 。这样做是为了避免lrq过于繁忙,而导致grq中的g“饿死”。

如果换成 runtime 里的函数名来理解,这个流程基本就是:先在当前 P 上通过 runqget 拿 G,不够再去全局队列里 globrunqget,随后检查 netpoll,最后再进入 work-stealing,从其他 P 的本地队列里偷一半任务回来。这也是 findrunnable() 背后最核心的查找顺序。

GMP面试题中的M寻找可运行G流程图

提示

为什么P的逻辑不加在M上?

主要还是因为 M 其实是内核线程,内核只知道自己在跑线程,而golang的运行时(包括调度,垃圾回收等)其实都是用户空间里的逻辑。操作系统内核哪里还知道,也不需要知道用户空间的golang应用的内部。这一切逻辑交给应用层自己去做就好,毕竟改内核线程的逻辑也不合适啊。

🌐 GMP 生态圈

在Go的世界里,GMP是绝对的基石。所有上层的建筑,比如内存管理、并发工具等,都是围绕着GMP模型来精心设计的。

🧮 内存管理

内存管理修改

Go的内存管理借鉴了Google自家的TCMalloc思想,并为GMP模型量身定做了优化。它为每个P都配备了一个私有的内存缓存——mcache。当一个P上的G需要分配小对象时,可以直接从这个私有的mcache里拿,完全无锁,速度飞快。

🔒 并发工具(Mutex, Channel)

并发工具修改

你有没有想过,为什么在Go里一个channel的读写阻塞了,或者一个Mutex锁住了,并不会把整个线程都卡死?

这就是因为Go的并发工具都是"G级别"的。当一个G因为这些操作需要阻塞时,它会被挂起,让出M的执行权。M会立刻去寻找并执行其他的G,整个过程都在用户态完成,无需内核介入。这极大地提升了并发性能。

我最近在用C++尝试模拟GMP时,就深有感触。C++标准库里的锁,一旦锁住,阻塞的是整个线程,这会导致线程上所有其他的协程都得干等着。想要实现Go这种效果,就得重写所有并发工具,成本巨大。这也反向证明了Go在并发设计上的优越性。

🌊 IO 多路复用(netpoll)

IO多路复用修改

对于网络IO,Go采用了Linux下性能强悍的epoll技术。但为了避免epoll的等待操作阻塞整个M,Go设计了一套巧妙的netpoll机制。它将IO阻塞操作转换成了G级别的阻塞(gopark),当IO就绪时,再通过goready唤醒对应的G。这样,IO操作也被完美地融入了GMP的调度体系中。

可以说,不理解GMP,就无法真正理解Go语言的精髓。

🔬 深入源码:GMP 的底层结构

理论说了一大堆,我们现在就潜入源码,看看G、M、P在 runtime/runtime2.go 文件里到底长什么样。

🧩 G 的结构(goroutine)

g的结构修改

g结构体是goroutine的实体,我们来看看它的关键字段:

  • stack: 描述了goroutine的栈空间信息(起始和结束地址)。

  • stackguard0: 栈的警戒线。当goroutine的栈使用量将要越过这条线时,就会触发栈扩容。同时,它也被用来标记"抢占请求"。

  • _panic: 用来记录goroutine中发生的panic。

  • _defer: 用链表的形式存储了goroutine中的defer操作(后进先出)。

  • m: 指向当前正在执行它的M。如果G没在运行,这个字段就是nil

  • atomicstatus: G的生命周期状态,比如 _Gidle_Grunnable_Grunning_Gwaiting 等。

 1
 2
 3
 4
 5
 6
 7
 8
 9
10
11
12
13
14
15
16
17
18
19
20
21
22
23
24
25
26
27
// g represents a goroutine.
type g struct {
        // stack describes the goroutine's stack. The bounds are
        // [stack.lo, stack.hi).
        stack       stack   // goroutine的执行栈空间
        // stackguard0 is the stack pointer compared in the Go stack growth prologue.
        // It is stack.lo + _StackGuard.
        // It is also used to signal a request to preempt the goroutine.
        stackguard0 uintptr // 栈空间保护区边界,也用于传递抢占标识

        // ...

        _panic       *_panic // 记录g执行过程中遇到的异常
        _defer       *_defer // g中挂载的defer函数,是一个LIFO的链表结构
        m            *m      // 当前执行本g的m
        
        // atomicstatus is the status of the goroutine.
        // It is changed atomically with casgstatus.
        // This field is read and written atomically, and the values are not in the
        // GStatus enum.
        atomicstatus uint32 // g的状态

        // ...
        
        // schedlink is a link in the global run queue, idle g list, or gfree list.
        schedlink guintptr // 进入全局队列grq时指向相邻g的next指针
}

🔧 M 的结构(Machine)

m的结构修改

m结构体是内核线程的抽象,核心字段如下:

  • g0: 一个非常特殊的G。每个M都有一个自己的g0,这个g0不执行用户代码,它的任务就是执行调度逻辑,为M寻找下一个要运行的普通G。

  • gsignal: 另一个特殊的G,专门用来处理分配给这个M的信号。

  • curg: 指向当前M上正在运行的那个普通的用户G。

  • p: 指向当前与M绑定的P。

 1
 2
 3
 4
 5
 6
 7
 8
 9
10
11
12
13
14
// m represents an OS thread.
type m struct {
        g0      *g     // 专门用于调度的g,每个M都有一个
        // ...
        procid  uint64 // M的唯一ID
        gsignal *g     // 用于处理信号的g
        
        curg    *g     // M上正在运行的普通g
        p       puintptr // M关联的p
        
        // ...
        
        schedlink muintptr // M在空闲链表中的下一个M
}

你可以把M的运行过程想象成两个状态的切换:当它在执行 g0 时,它在扮演"调度者"的角色;当它在执行 curg 时,它在扮演"执行者"的角色。

🔗 P 的结构(Processor)

p的结构修改

p结构体是调度器,是连接G和M的桥梁,核心字段如下:

  • status: P的生命周期状态,如 _Pidle_Prunning 等。

  • m: 指向当前与它绑定的M。

  • runq: P的私有G队列,也就是我们前面说的LRQ,它是一个定长的数组,可以存放256个G。

  • runqhead, runqtail: LRQ的头尾索引,用来实现一个环形队列。

  • runnext: LRQ里的一个"VIP通道"。通过 runqput 放入的下一个G会优先放在这里,调度器会首先检查 runnext 是否有G,有的话直接拿来执行,可以省去操作runq队列的开销。

 1
 2
 3
 4
 5
 6
 7
 8
 9
10
11
12
13
14
15
16
17
18
19
20
// p represents a processor.
type p struct {
        id          int32  // P的ID
        status      uint32 // P的状态 (pidle, prunning, etc.)
        link        puintptr
        schedtick   uint32   // 每执行一次schedule,该值+1
        syscalltick uint32   // 每进行一次系统调用,该值+1
        m           muintptr // 回指到关联的M (如果idle则为nil)
        
        // Queue of runnable goroutines. Accessed without lock.
        runqhead uint32
        runqtail uint32
        runq     [256]guintptr // 本地G队列,即LRQ
        // runnext, if non-nil, is a runnable G that was ready'd by
        // the current G and should be run next instead of what's in
        // runq.
        runnext guintptr // 下一个要调度的G,可以看作是LRQ中的一个特权位置
        
        // ...
}

🎛️ 全局调度器(schedt)

schedt修改

除了G、M、P这三大组件,还有一个全局的 schedt 结构体,它掌管着全局资源,访问它需要加锁。

  • lock: 全局互斥锁。

  • midle: 空闲的M队列,没活干的M会在这里排队。

  • pidle: 空闲的P队列,没活干的P也在这里排队。

  • runq: 全局G队列,也就是GRQ。

  • runqsize: GRQ里G的数量。

 1
 2
 3
 4
 5
 6
 7
 8
 9
10
11
12
13
14
15
16
17
18
19
// 全局调度模块
type schedt struct{
    // ...
    // 互斥锁
    lock mutex

    // 空闲 m 队列
    midle        muintptr // idle m's waiting for work
    // ...
    // 空闲 p 队列
    pidle      puintptr // idle p's
    // ...

    // 全局 g 队列——grq
    runq     gQueue
    // grq 中存量 g 的个数
    runqsize int32
    // ...
}

midlepidle`的设计是为了资源的复用和节能。当系统不忙时,空闲的M和P会被放进这两个队列里"休眠",避免CPU空转,等到有新任务时再被唤醒。

🧭 正向追踪:一个 G 的诞生与调度

好了,基础结构我们都看完了。现在,让我们切换到第一人称视角,看看一个我们用 go func(){...} 创建的goroutine,是如何一步步被调度并执行的。这个过程,可以看作是从 g0g的转换。

🎯 main 函数的特殊性

main函数是所有Go程序的入口,它比较特殊。它是由一个全局唯一的 m0(主线程)来执行的。源码位于 runtime.proc.go

1
2
3
4
5
6
7
8
9
// The main goroutine.
func main() {
        // ...
        // 获取用户定义的 main.main 函数
        fn := main_main
        // 执行用户的 main 函数
        fn()
        // ...
}

🐣 普通 G 的创建

g的创建修改

除了main这个特例,我们自己启动的goroutine都会经历一个标准的创建流程。比如这段代码:

1
2
3
4
5
6
func handle() {
        // 异步启动一个goroutine
        go func() {
                // do something ...
        }()
}

编译器会把 go func() 转换成对 runtime.newproc 函数的调用。这个函数的核心逻辑如下:

  1. 切换到g0newproc会先通过systemstack把自己从当前的用户G栈切换到M的g0调度栈上。因为创建G是调度层面的工作,得由专业的g0来干。

  2. 创建G实例:在g0栈上,调用newproc1来创建一个新的g结构体实例,并做好初始化工作,比如设置好要执行的函数入口地址、程序计数器等。

  3. 放入就绪队列:新创建的G需要被放到一个就绪队列里,等待被调度。这里会调用runqput函数。

  4. runqput的逻辑

    • 它会优先尝试把新的G放到当前P的runnext这个VIP位置。

    • 如果runnext被占了,它会尝试把G放到当前P的LRQ的队尾。

    • 如果LRQ也满了,那没办法,只能加个全局锁,把这个G和LRQ里的一半G都转移到全局队列GRQ里去(这个操作叫runqputslow)。

  5. 唤醒休眠的P:如果此时有P因为没事干而处于休眠状态,wakep函数会负责唤醒一个P来处理这个新任务。

  6. 切回用户G栈systemstack执行完毕,切回到原来的用户G,继续执行它自己的代码。

 1
 2
 3
 4
 5
 6
 7
 8
 9
10
11
12
13
14
15
16
17
18
19
20
21
22
23
24
25
26
27
28
// 创建一个新的g,并将其投递到就绪队列中。fn是用户指定的函数。
// 当前的执行者还是某个普通的g。
func newproc(fn *funcval) {
        // 获取当前正在执行的普通g和程序计数器
        gp := getg()
        pc := getcallerpc()
        
        // systemstack会临时切换到g0栈,执行完闭包函数后,再切回原来的普通g
        systemstack(func() {
                // 此时执行方为g0
                // 构造一个新的g实例
                newg := newproc1(fn, gp, pc)

                // 获取当前P
                _p_ := getg().m.p.ptr()
                
                // 将newg添加到队列中:
                // 1) 优先添加到P的本地队列LRQ
                // 2) 如果LRQ满了,则添加到全局队列GRQ
                runqput(_p_, newg, true)

                // 如果有因为空闲而被阻塞的P和M,需要唤醒它们
                if mainStarted {
                        wakep()
                }
        })
        // 切回到原来的普通g继续执行
}

🔁 从 g0g 的切换

g0与g修改

每个M都有一个自己的g0g0的工作就是不断地调用schedule函数来寻找可执行的G。所以,一个M的生命周期,就是在执行g0(找任务)和执行普通g(做任务)之间循环往复。

这个切换过程有两个关键的"桩函数":

  • mcall, systemstack: 实现从 g 切换到 g0

  • gogo: 实现从 g0 切换到 g

我们从g0的视角来看,它主要做两件事:

  1. schedule(): 调用findrunnable()方法,从各个队列里找到一个可执行的G。

  2. execute(): 找到G之后,更新上下文信息(比如把m.curg指向找到的G),然后调用gogo,把M的CPU执行权从g0交到这个G手上。

也可以把 Go scheduler 直接理解成 Go runtime 内嵌的协程调度器。它不负责执行业务逻辑,只负责两件事:决定“下一个该跑哪个 G”,以及决定“什么时候把当前 G 切走”。因此 schedule() 更像“挑任务”,而 execute() 更像“正式切换执行权”。

上述方法均实现于 runtime/proc.go 文件中:

 1
 2
 3
 4
 5
 6
 7
 8
 9
10
11
12
13
14
15
16
17
18
19
20
21
22
23
24
25
26
27
28
29
30
31
32
33
34
35
36
37
// 执行方为g0
func schedule() {
        _g_ := getg() // 获取当前g0

top:
        pp := _g_.m.p.ptr() // 获取当前P
        
        // ...

        // 核心方法: 获取一个可调度的g
        // - 按照优先级,依次从本地队列LRQ、全局队列GRQ、netpoll、其他P的LRQ中寻找
        // - 如果都找不到,就把P和M都休眠掉
        gp, inheritTime, tryWakeP := findRunnable() // 这个函数会阻塞直到找到任务

        // ...

        // 执行g,这个方法会把执行权从g0切换到gp
        execute(gp, inheritTime)
}

// 执行指定的g。当前执行方还是g0,但会通过gogo方法切换到gp
func execute(gp *g, inheritTime bool) {
        _g_ := getg() // 获取g0

        // 建立g0和gp的关系
        _g_.m.curg = gp
        gp.m = _g_.m

        // 更新gp的状态:runnable -> running
        casgstatus(gp, _Grunnable, _Grunning)
        
        // 设置gp的栈保护区边界
        gp.stackguard0 = gp.stack.lo + _StackGuard

        // 执行gogo方法,M的执行权会切换到gp
        gogo(&gp.sched)
}

从栈切换角度看,mcall()gogo() 并不是简单的函数调用,而是在用户 G 的栈和 g0 的调度栈之间切换 SPPC 等寄存器,并把现场保存在 gobuf 里。也正因为如此,调度器既能安全地离开当前 G,又能在将来准确恢复到它之前停下的位置。

🔍 寻找 G 的漫漫长路:findrunnable

findrunnable是调度循环中最核心的函数,它寻找G的策略体现了Go调度器的智慧。

寻找g修改

我们来梳理一下它的寻找步骤:

  1. 检查全局队列(GRQ):还记得吗?每61次调度循环,必须先从全局队列globrunqget拿一个G,防止GRQ饥饿。(需要加锁)

  2. 检查本地队列(LRQ):从当前P的LRQ里runqget一个G。(无锁CAS)

  3. 再次检查全局队列(GRQ):如果本地没有,再去全局队列里globrunqget找。(需要加锁)

  4. 检查网络轮询器(netpoll):如果还没有,就去netpoll里看看有没有因为网络IO就绪的G。(非阻塞模式)

  5. 从别的P偷(work stealing):如果还找不到,就只能启动work stealing机制,随机找一个别的P,从它的LRQ里偷一半的G过来。

  6. 再次double check全局队列:偷完之后,再最后看一眼全局队列。

  7. 进入休眠:如果以上所有努力都失败了,说明系统现在真的很闲,findrunnable会:

    • 把当前的P设置为_Pidle状态,并把它放到全局的pidle队列里。

    • 在把当前M也休眠之前,会做最后一次挣扎:以阻塞模式调用netpoll,看看能不能等到一个IO事件。

    • 如果连阻塞等待IO都没用,那就彻底死心了,把当前M也放到全局的midle队列里,然后调用stopm让M休眠,交出线程控制权。

这个过程设计得非常精妙,既保证了任务获取的高效性(优先无锁操作),又实现了负载均衡(work-stealing),还能在系统空闲时自动缩容,节省资源。

📚 findRunnable 函数详解

Go调度器的核心在于findRunnable函数,这个函数负责为当前的处理器P找到一个可执行的goroutine。整个过程遵循着严格的优先级顺序,确保系统的公平性和效率。

  1
  2
  3
  4
  5
  6
  7
  8
  9
 10
 11
 12
 13
 14
 15
 16
 17
 18
 19
 20
 21
 22
 23
 24
 25
 26
 27
 28
 29
 30
 31
 32
 33
 34
 35
 36
 37
 38
 39
 40
 41
 42
 43
 44
 45
 46
 47
 48
 49
 50
 51
 52
 53
 54
 55
 56
 57
 58
 59
 60
 61
 62
 63
 64
 65
 66
 67
 68
 69
 70
 71
 72
 73
 74
 75
 76
 77
 78
 79
 80
 81
 82
 83
 84
 85
 86
 87
 88
 89
 90
 91
 92
 93
 94
 95
 96
 97
 98
 99
100
101
102
103
104
105
106
107
108
109
110
111
112
113
114
115
116
117
118
// 寻找可执行的goroutine,返回时必定已经找到目标g
func findRunnable()(gp *g, inheritTime, tryWakeP bool){
    // 获取当前P下的g0(调度协程)
    _g_ := getg()
    // ...
top:
    // 获取当前的处理器P
    _p_ := _g_.m.p.ptr()
    // ...
    
    // 防饥饿机制:每61次调度检查一次全局队列
    if _p_.schedtick%61==0 && sched.runqsize > 0{
        lock(&sched.lock)
        gp = globrunqget(_p_, 1)
        unlock(&sched.lock)
        if gp != nil{
            return gp, false, false
        }
    }
    // ...
    
    // 第一优先级:从本地运行队列获取goroutine
    if gp, inheritTime := runqget(_p_); gp != nil{
        return gp, inheritTime, false
    }
    
    // 第二优先级:从全局队列获取goroutine
    if sched.runqsize != 0{
        lock(&sched.lock)
        gp := globrunqget(_p_, 0)
        unlock(&sched.lock)
        if gp != nil{
            return gp, false, false
        }
    }
    
    // 第三优先级:处理网络I/O就绪的goroutine
    if netpollinited() && atomic.Load(&netpollWaiters) > 0 &&
       atomic.Load64(&sched.lastpoll) != 0{
        if list := netpoll(0); !list.empty(){ // 非阻塞调用
            gp := list.pop()
            injectglist(&list)
            casgstatus(gp, _Gwaiting, _Grunnable)
            // ...
            return gp, false, false
        }
    }
    // ...
    
    // 第四优先级:从其他P的本地队列偷取goroutine
    gp, inheritTime, tnow, w, newWork := stealWork(now)
    if gp != nil{
        return gp, inheritTime, false
    }
    
    // 若有GC标记任务,参与协作而非直接回收P
    // ...
    
    // 最后检查:再次确认全局队列
    lock(&sched.lock)
    // ...
    if sched.runqsize != 0{
        gp := globrunqget(_p_, 0)
        unlock(&sched.lock)
        return gp, false, false
    }
    // ...
    
    // 无事可做时:解绑P和M,将P放入空闲队列
    releasep()
    now = pidleput(_p_, now)
    unlock(&sched.lock)
    // ...
    
    // 网络轮询保障机制:确保有M专门处理I/O事件
    if netpollinited() && (atomic.Load(&netpollWaiters) > 0 || pollUntil != 0) &&
       atomic.Xchg64(&sched.lastpoll, 0) != 0{
        atomic.Store64(&sched.pollUntil, uint64(pollUntil))
        // ...
        
        // 阻塞模式执行网络轮询
        delay := int64(-1)
        // ...
        list := netpoll(delay) // 阻塞直到有新任务
        
        // 恢复轮询标识
        atomic.Store64(&sched.lastpoll, uint64(now))
        // ...
        
        lock(&sched.lock)
        // 尝试获取空闲的P
        _p_, _ = pidleget(now)
        unlock(&sched.lock)
        
        // 如果没有可用的P,将就绪的goroutine放入全局队列
        if _p_ == nil{
            injectglist(&list)
        } else {
            // 重新绑定P和M
            acquirep(_p_)
            // 取第一个goroutine用于调度,其余放入全局队列
            if !list.empty(){
                gp := list.pop()
                injectglist(&list)
                casgstatus(gp, _Gwaiting, _Grunnable)
                // ...
                return gp, false, false
            }
            // ...
            goto top
        }
    }
    // ...
    
    // 最终手段:阻塞当前M,加入空闲队列
    stopm()
    goto top
}

📍 本地队列获取策略

从本地队列获取goroutine是最高效的方式,因为不需要加锁。runqget函数采用了巧妙的双重策略:

 1
 2
 3
 4
 5
 6
 7
 8
 9
10
11
12
13
14
15
16
17
18
19
20
21
22
23
24
25
26
27
28
29
// 无锁方式从P的本地队列获取goroutine
func runqget(_p_ *p)(gp *g, inheritTime bool){
    // 优先获取runnext位置的goroutine(高优先级位置)
    next := _p_.runnext
    if next != 0 && _p_.runnext.cas(next, 0){
        return next.ptr(), true
    }
    
    // 从队列头部获取普通goroutine
    for{
        // 原子操作获取头部索引
        h := atomic.LoadAcq(&_p_.runqhead) // load-acquire语义,与其他消费者同步
        // 获取尾部索引
        t := _p_.runqtail
        
        // 队列为空的情况
        if t == h {
            return nil, false
        }
        
        // 根据索引取出对应的goroutine
        gp := _p_.runq[h%uint32(len(_p_.runq))].ptr()
        
        // CAS操作更新头部索引
        if atomic.CasRel(&_p_.runqhead, h, h+1){ // cas-release语义,提交消费操作
            return gp, false
        }
    }
}

这里有个有趣的设计:runnext是一个特殊位置,专门存放高优先级的goroutine,比如刚刚创建的新goroutine。这样设计可以提高响应性。

⚖️ 全局队列的公平调度

当本地队列为空时,调度器会转向全局队列。但这里有个重要的防饥饿机制:

 1
 2
 3
 4
 5
 6
 7
 8
 9
10
11
12
13
14
15
16
17
18
19
20
// 从全局队列获取goroutine,调用前必须持有全局锁
func globrunqget(_p_ *p, max int32)*g {
    // 确保持有锁的断言检查
    assertLockHeld(&sched.lock)
    
    // 队列空检查
    if sched.runqsize == 0{
        return nil
    }
    // ...
    
    // 根据max参数可能会批量转移goroutine到本地队列
    // 这里简化显示核心逻辑
    // ...
    
    // 从全局队列头部弹出一个goroutine
    gp := sched.runq.pop()
    // ...
    return gp
}

🌐 网络 I/O 事件处理机制

在 gmp 调度流程中,如果 lrq 和 grq 都为空,则会执行 netpoll 流程,尝试以非阻塞模式下的 epoll_wait 操作获取 io 就绪的 g。该方法位于 runtime/netpoll_epoll.go:

 1
 2
 3
 4
 5
 6
 7
 8
 9
10
11
12
13
14
15
func netpoll(delay int64) gList {
    // ...
    // 调用系统的epoll_wait获取就绪事件
    var events [128]epollevent
    n := epollwait(epfd, &events[0], int32(len(events)), waitms)
    // ...
    
    var toRun gList
    for i := int32(0); i < n; i++{
        ev := &events[i]
        // 将就绪事件对应的goroutine加入待运行列表
        netpollready(...)
    }
    return toRun
}

这个机制让Go程序能够高效处理大量并发连接,而不需要为每个连接分配单独的线程。

🥷 从其他的 P 队列窃取 G

当本地队列和全局队列都为空时,并且执行完 netpoll 流程后仍未获得 g,则会尝试从其他 p 的 lrq 中窃取半数 g 补充到当前 p 的 lrq 中。工作窃取算法是负载均衡的关键,它确保了系统中的处理器都能保持忙碌状态。

 1
 2
 3
 4
 5
 6
 7
 8
 9
10
11
12
13
14
15
16
17
18
19
20
21
22
23
24
25
26
27
28
29
30
31
32
33
34
35
36
func stealWork(now int64) (gp *g, inheritTime bool, rnow, pollUntil int64, newWork bool){
    // 获取当前P
    pp := getg().m.p.ptr()
    // ...
    
    // 最多尝试4轮窃取
    const stealTries = 4
    for i := 0; i < stealTries; i++{
        // ...
        
        // 随机选择窃取目标,避免热点竞争
        for enum := stealOrder.start(fastrand()); !enum.done(); enum.next(){
            // ...
            
            // 获取目标P
            p2 := allp[enum.position()]
            
            // 不能从自己这里偷
            if pp == p2 {
                continue
            }
            // ...
            
            // 只要目标P不是空闲状态就尝试窃取
            if !idlepMask.read(enum.position()){
                // 窃取目标P本地队列中的一半goroutine
                if gp := runqsteal(pp, p2, stealTimersOrRunNextG); gp != nil{
                    return gp, false, now, pollUntil, ranTimer
                }
            }
        }
    }
    
    // 窃取失败
    return nil, false, now, pollUntil, ranTimer
}

♻️ 回收空闲 P 和 M

再执行完上述逻辑之后,如果还是未能获取到可运行的g,系统需要妥善处理空闲的P和M,此时会将 p 和 m 添加到 schedt 的 pidle 和 midle 队列中并停止 m 的运行,避免产生资源浪费

 1
 2
 3
 4
 5
 6
 7
 8
 9
10
11
12
13
14
15
16
17
18
19
20
21
22
23
24
25
26
// 将P加入空闲队列
func pidleput(_p_ *p, now int64)int64{
    assertLockHeld(&sched.lock)
    // ...
    
    // 将P插入空闲队列头部
    _p_.link = sched.pidle
    sched.pidle.set(_p_)
    atomic.Xadd(&sched.npidle, 1)
    // ...
}

// 停止当前M的运行
func stopm(){
    _g_ := getg()
    // ...
    
    lock(&sched.lock)
    // 将M加入空闲队列
    mput(_g_.m)
    unlock(&sched.lock)
    
    // 让M进入休眠状态
    mPark()
    // ...
}

↩️ 逆向追踪:G 的让渡艺术

有借有还,再借不难。G拿到了M的执行权,也得在适当的时候还回去。这个"还"的过程,我们称之为让渡(yield)。让渡是一个主动的行为,由G自己发起,目的是把执行权交还给g0,让g0可以去调度其他的G。这是一个从 gg0 的转换。

🏁 功成身退:执行结束

G 执行结束并返回 g0 调度

当一个G的任务执行完毕,它会调用goexit1,这是一个主动的"退休"申请。

  1. goexit1里,它会调用mcall(goexit0),这个mcall指令会把执行权从当前的G切换到M的g0上,并让g0去执行goexit0函数。

  2. goexit0函数(此时由g0执行)会负责给这个退休的G办"后事":

    • 把G的状态从_Grunning更新为_Gdead

    • 清理G内部的数据。

    • 解除G和M的绑定关系(dropg)。

    • 把这个G的结构体放到P的gfree队列里,方便下次创建新G时复用,避免了内存的反复申请和释放。

    • 最后,调用schedule(),开始新一轮的调度。

 1
 2
 3
 4
 5
 6
 7
 8
 9
10
11
12
13
14
15
16
17
18
19
20
21
22
23
24
// goroutine运行结束,此时执行方是普通g
func goexit1() {
        // 通过mcall,将执行方转为g0,调用goexit0方法
        mcall(goexit0)
}

// 此时执行方为g0,入参gp为已经运行结束的g
func goexit0(gp *g) {
        _g_ := getg() // 获取g0
        _p_ := _g_.m.p.ptr()

        // 将gp的状态由running更新为dead
        casgstatus(gp, _Grunning, _Gdead)
        // ... 清理工作 ...
        
        // 将g和p解除关系
        dropg()

        // 将g添加到p的gfree队列中以供复用
        gfput(_p_, gp)
        
        // 发起新一轮调度流程
        schedule()
}

🤝 高风亮节:主动让渡

G 主动让渡执行权给 g0

我们可以通过在代码里调用 runtime.Gosched() 来手动让一个G让出CPU。这个函数会做和goexit1类似的事情:

  1. 调用mcall(gosched_m),把执行权从当前G切换到g0

  2. g0执行gosched_m函数,它的逻辑是:

    • 把G的状态从_Grunning改回_Grunnable

    • 解除G和M的绑定。

    • 把这个G直接扔到全局队列GRQ中,等待下一次被调度。

    • 调用schedule(),开始新一轮调度。

 1
 2
 3
 4
 5
 6
 7
 8
 9
10
11
12
13
14
15
16
17
18
19
20
21
22
23
24
// 主动让渡出执行权,此时执行方还是普通g
func Gosched() {
        // 通过mcall,将执行方转为g0,调用gosched_m方法
        mcall(gosched_m)
}

// 此时执行方为g0
func gosched_m(gp *g) {
        // ...
        goschedImpl(gp)
}

func goschedImpl(gp *g) {
        // 将g状态由running改为runnable就绪态
        casgstatus(gp, _Grunning, _Grunnable)
        // 解除g和m的关系
        dropg()
        // 将g添加到全局队列grq
        lock(&sched.lock)
        globrunqput(gp)
        unlock(&sched.lock)
        // 发起新一轮调度
        schedule()
}

💤 情非得已:阻塞让渡

阻塞让渡修改

这是最常见的一种让渡方式。当G执行到需要等待某个外部条件的地方(比如读一个空的channel,或者等待一个锁),它就会被阻塞。

这个过程的核心是gopark函数:

  1. 当G需要阻塞时,上层函数(比如channel的读写逻辑)会调用gopark

  2. gopark同样会调用mcall(park_m),把执行权交给g0

  3. g0执行park_m,它会:

    • 把G的状态从_Grunning改为_Gwaiting

    • 解除G和M的绑定。

    • 注意_Gwaiting状态的G不会被放到任何就绪队列里!它会被上层调用者(比如channel)自己保管。

    • g0调用schedule(),寻找下一个G来执行。

当外部条件满足时(比如channel里有了数据),另一个G会调用goready函数来唤醒这个处于_Gwaiting状态的G。

goready会:

  1. 把目标G的状态从_Gwaiting改回_Grunnable

  2. 调用runqput,把这个G重新放回到就绪队列(LRQ或GRQ)中。

  3. 调用wakep,尝试唤醒一个空闲的P来处理这个刚被唤醒的G。

这一parkready,完美地实现了G级别的阻塞和唤醒,整个过程高效且对用户透明。

以下是具体的代码分析:

 1
 2
 3
 4
 5
 6
 7
 8
 9
10
11
12
13
14
15
16
17
18
19
20
21
22
// 此时执行方为普通 g
func gopark(unlockf func(*g, unsafe.Pointer)bool,lockunsafe.Pointer, reason waitReason, traceEv byte, traceskip int){
    // 获取 m 正在执行的 g,也就是要阻塞让渡的 g
    gp := mp.curg
    // ...
    // 通过 mcall,将执行方由普通 g -> g0
    mcall(park_m)
}

// 此时执行方为 g0. 入参 gp 为需要执行 park 的普通 g
func park_m(gp *g){
    // 获取 g0 
    _g_ := getg()

    // 将 gp 状态由 running 变更为 waiting
    casgstatus(gp,_Grunning,_Gwaiting)
    // 解绑 g 与 m 的关系
    dropg()

    // g0 发起新一轮调度流程
    schedule()
}

与 gopark 相对的,是用于唤醒 g 的 goready 方法,其中会通过 systemstack 压栈切换至 g0 执行 ready 方法——将目标 g 状态由 waiting 改为 runnable,然后添加到就绪队列中.

1
2
3
4
5
6
7
8
9
// 此时执行方为普通 g. 入参 gp 为需要唤醒的另一个普通 g
func goready(gp *g, traceskip int) {
    // 调用 systemstack 后,会切换至 g0 亚展调用传入的 ready 方法. 调用结束后则会直接切换回到当前普通 g 继续执行. 
    systemstack(func() {
        ready(gp, traceskip, true)
    })

    // 恢复成普通 g 继续执行 ...
}
 1
 2
 3
 4
 5
 6
 7
 8
 9
10
11
12
13
14
15
16
17
18
// 此时执行方为 g0. 入参 gp 为拟唤醒的普通 g
func ready(gp *g, traceskip int, next bool){
    // ...

    // 获取当前 g0
    _g_ := getg()
    // ...
    // 将目标 g 状态由 waiting 更新为 runnable
    casgstatus(gp,_Gwaiting,_Grunnable)
    /*
        1) 优先将目标 g 添加到当前 p 的本地队列 lrq
        2)若 lrq 满了,则将 g 追加到全局队列 grq
    */
    runqput(_g_.m.p.ptr(), gp,next)
    // 如果有 m 或 p 处于 idle 状态,将其唤醒
    wakep()
    // ...
}

⚡ 第三方视角:抢占式调度

前面说的"让渡"都是G的主动行为。但如果一个G是个"老赖",执行一个超长的计算任务,一直不主动让出CPU怎么办?难道要让整个系统都等它一个吗?

当然不行!Go调度器还有一个"霸道总裁"的角色来强制干预,就是抢占(Preemption)。一个由外部力量发起的、为了维护整个系统公平和效率的"强制让位"过程。

hand off机制 :将发起 syscall 的 g 和 m 绑定,但是解除 p 与 m 的绑定关系,使得此期间 p 存在和其他 m 结合的机会。保证这个 P 上的 G 还能继续被执行。

抢占设计修改

🛰️ 幕后英雄:无处不在的 sysmon

在我们的Go程序启动时,除了我们熟知的主线程外,runtime还会悄悄启动一个非常关键的后台线程——sysmon(System Monitor,系统监控)。

你可以把它想象成一个永不休息的"巡逻兵",它独立于普通的G-P-M调度模型,持续地在后台循环执行。这个线程在整个程序生命周期里是全局唯一的,就像一个大管家,不知疲倦地监视着整个Go程序的运行状态。

监控线程修改

sysmon 的工作是一个永不停歇的循环,它主要关心三件大事儿:

  • 网络轮询(netpoll):检查有没有已经完成IO操作的网络连接,唤醒那些等待IO的Goroutine。

  • 抢占(retake):找出那些运行时间太长的Goroutine,毫不留情地把它"踹"下CPU。

  • GC触发检查:看看是不是时候该进行垃圾回收(GC)了。

这个 sysmon 线程是在哪里创建的呢?答案就在 main 函数启动的深处。Go运行时会通过 newm 创建一个新的系统线程(M)专门来跑 sysmon 这个函数。

它的核心工作逻辑大致如下:

 1
 2
 3
 4
 5
 6
 7
 8
 9
10
11
12
13
14
15
16
17
18
19
20
21
22
23
24
25
26
27
28
29
30
31
32
33
34
35
36
37
38
39
40
41
// The main goroutine.
// main goroutine的入口
func main(){
        systemstack(func() {
                // 创建一个新的M(系统线程)来执行sysmon函数
                // 这个M不关联任何P,是一个专门用于系统监控的线程
                newm(sysmon, nil, -1)
        })
        // ...
}

// sysmon是系统监控函数,它在一个独立的M上无限循环运行
func sysmon() {
        //..
        for {
                // 根据程序的繁忙程度,动态调整休眠时间
                // 如果程序比较空闲,会休眠长一点,最长10毫秒
                usleep(delay)
                // ...

                // 记录上次网络轮询的时间
                lastpoll := int64(atomic.Load64(&sched.lastpoll))
                // 如果网络轮询器已初始化,并且距离上次轮询超过10ms
                if netpollinited() && lastpoll != 0 && lastpoll+10*1000*1000 < now {
                        //...
                        // 执行非阻塞的网络轮询,返回一个就绪的goroutine列表
                        list := netpoll(0) 
                        // ...
                }

                // 执行抢占工作,这是我们的重点
                retake(now)
                //...

                // 检查是否需要触发GC
                if t := (gcTrigger{kind: gcTriggerTime, now: now}); t.test() && atomic.Load(&forcegc.idle) != 0 {
                        // ...
                }
                // ...
        }
}

可以看到,sysmon 的核心就是一个 for 死循环,每次循环都会执行一遍它的"三板斧"。而我们的抢占逻辑,就藏在 retake 这个函数里。retake 会根据Goroutine的不同状态,采取不同的抢占策略,主要分为两种:系统调用抢占运行超时抢占

📞 系统调用抢占

我们知道,系统调用(syscall)是连接用户态程序和操作系统内核的桥梁。但当一个M(系统线程)陷入系统调用时,它就会被操作系统挂起,暂时无法执行任何用户态代码。这对Go的调度器来说是个大问题,因为如果M上还绑定着一个P(处理器),那这个P也就跟着被闲置了,它所管理的本地Goroutine队列就得不到执行,造成了资源浪费。

Go的策略非常聪明:人走可以,但办公桌得留下!

当一个Goroutine即将发起系统调用时,调度器会做几件事:

  1. 解除P与M的绑定:把当前线程M和处理器P分离开。

  2. 状态更新:把Goroutine和P的状态都更新为 _Gsyscall_Psyscall

  3. 保留弱联系:虽然P和M分开了,但M会记住这个P(存放在m.oldp),方便回来的时候能"再续前缘"。

  4. 寻找新机会:脱离了M的P,可以去和其他空闲的M结合,继续执行其他Goroutine,一点都不耽误事儿。

系统调用修改

这个过程主要发生在 reentersyscall 函数中:

 1
 2
 3
 4
 5
 6
 7
 8
 9
10
11
12
13
14
15
16
17
18
19
20
21
22
23
24
25
26
// reentersyscall 在goroutine进入系统调用时被调用
func reentersyscall(pc, sp uintptr) {
        _g_ := getg() // 获取当前的goroutine

        // ...
        // 保存当前的程序计数器(PC)和栈指针(SP)等上下文信息
        save(pc, sp)
        // ...

        // 1. 将goroutine的状态从 _Grunning 更新为 _Gsyscall
        casgstatus(_g_, _Grunning, _Gsyscall)

        // ...
        // 2. 解除 P 和 M 的绑定关系
        pp := _g_.m.p.ptr()
        pp.m = 0          // P的m指针置空
        _g_.m.p = 0       // M的p指针置空

        // 3. 将P设置为M的oldp,建立一个弱引用关系
        _g_.m.oldp.set(pp)
        
        // 4. 将P的状态更新为 _Psyscall
        atomic.Store(&pp.status, _Psyscall)

        // ...
}

等系统调用结束,Goroutine从内核态返回时,会执行 exitsyscall 函数。这时它会尝试"复位归来":

  • 快速路径:先看看之前那个P(oldp)是不是还单身(没有和其他M结合)。如果是,太好了,直接拿回来用,光速恢复执行。

  • 慢速路径:如果P已经被别的M"拐走"了,那就没办法了。当前Goroutine会被切换到g0栈,执行exitsyscall0,尝试为自己所在的M寻找一个新的空闲P。如果找到了,就继续执行;如果找不到,说明现在很忙,M就会被挂起,这个Goroutine则被放到全局队列中,等待下一次被调度

 1
 2
 3
 4
 5
 6
 7
 8
 9
10
11
12
13
14
15
16
17
18
19
20
21
22
23
24
25
26
27
28
29
30
31
32
33
34
35
36
37
38
39
40
41
42
43
44
45
46
47
48
49
50
51
52
53
54
55
// exitsyscall 在goroutine退出系统调用时执行
func exitsyscall() {
        _g_ := getg() // 获取当前goroutine

        // ...
        // 尝试快速路径:如果oldp没有被其他M绑定,就直接复用
        oldp := _g_.m.oldp.ptr()
        _g_.m.oldp = 0
        if exitsyscallfast(oldp) {
                // ...
                // 快速恢复成功,将g的状态改回_Grunning
                casgstatus(_g_, _Gsyscall, _Grunning)
                // ...
                return // 直接返回,继续执行g
        }

        // 快速路径失败,切换到g0栈,执行慢速路径逻辑
        mcall(exitsyscall0)
        // ...
}

// exitsyscall0 在g0栈上为当前M寻找一个新的P
func exitsyscall0(gp *g) {
        // 将goroutine的状态从 _Gsyscall 改为 _Grunnable 就绪态
        casgstatus(gp, _Gsyscall, _Grunnable)
        // 解除g和当前M的绑定
        dropg()
        lock(&sched.lock)
        
        // 尝试从空闲列表获取一个P
        var _p_ *p
        _p_, _ = pidleget(0)
        // ...
        
        // 如果没有找到空闲的P
        if _p_ == nil {
                // 将g放入全局运行队列
                globrunqput(gp)
                // ...
        }
        // ...
        unlock(&sched.lock)

        // 如果找到了P
        if _p_ != nil {
                // 绑定P,然后立即执行这个goroutine
                acquirep(_p_)
                execute(gp, false) // 不会返回
        }

        // 如果没找到P,M只能进入休眠
        stopm()
        // 当M被唤醒后,重新开始调度循环
        schedule() // 不会返回
}
retake方法修改

你可能会问,这和 sysmon 有什么关系?关系大了!sysmon 会在它的 retake 检查中,遍历所有的P。如果发现某个P长时间处于 _Psyscall 状态(默认超过10ms),或者这个P虽然在syscall,但它的本地队列里还有其他Goroutine在排队,sysmon 就会认为不能再等了,必须执行抢占。 它会调用 handoffp,强制把这个P从syscall的M那里"抢"过来,分配给一个新的或者空闲的M,去执行P本地队列里的其他任务。

 1
 2
 3
 4
 5
 6
 7
 8
 9
10
11
12
13
14
15
16
17
18
19
20
21
22
23
24
25
26
27
28
29
30
31
// retake 函数由 sysmon 线程周期性调用
func retake(now int64) uint32{
    n :=0
    // 加锁
    lock(&allpLock)
    // 遍历所有 p
    for i :=0; i <len(allp); i++{
        _p_ := allp[i]
        // ...
        s := _p_.status
        // ...
        // 对于正在执行 syscall 的 p
        if s ==_Psyscall{
            // 如果 p 本地队列为空且发起系统调用时间 < 10ms,则不进行抢占
            if runqempty(_p_)&& atomic.Load(&sched.nmspinning)+atomic.Load(&sched.npidle)>0&& pd.syscallwhen+10*1000*1000> now {
                continue
            }
            unlock(&allpLock)
            // 将 p 的状态由 syscall 更新为 idle
            if atomic.Cas(&_p_.status, s,_Pidle){
                // ...
                // 让 p 拥有和其他 m 结合的机会
                handoffp(_p_)
            }
            // ...
            lock(&allpLock)
        }
    }
    unlock(&allpLock)
    return uint32(n)
}
 1
 2
 3
 4
 5
 6
 7
 8
 9
10
11
12
func handoffp(_p_ *p) {
    // 如果 p lrq 中还有 g 或者全局队列 grq 中还有 g,则立即分配一个新 m 与该 p 结合
    if!runqempty(_p_)|| sched.runqsize !=0{
        // 分配一个 m 与 p 结合
        startm(_p_,false)
        return
    }
    // ...
    // 若系统空闲没有 g 需要调度,则将 p 添加到 schedt 中的空闲 p 队列 pidle 中
    pidleput(_p_,0)
    // ...
}

⏱️ 运行超时抢占

除了系统调用,另一种需要抢占的场景就是Goroutine运行时间过长。比如一个纯计算的循环,没有任何IO或channel操作,它就会像个"钉子户"一样霸占着CPU。

运行超时修改

sysmonretake 函数中同样会检查每个处于 _Prunning 状态的P。它会看当前P上的Goroutine从何时开始执行(schedwhen),如果执行时间超过了一个阈值(forcePreemptNS,通常是10ms),sysmon 就会认为需要抢占了。

 1
 2
 3
 4
 5
 6
 7
 8
 9
10
11
12
13
14
15
16
17
18
// retake 函数的一部分
func retake(now int64) uint32 {
        // ...
        for i := 0; i < len(allp); i++ {
                _p_ := allp[i]
                // ...
                // 如果P正在运行
                if s == _Prunning {
                        // ...
                        // 检查当前goroutine的执行时间是否超过了10ms
                        if _p_.schedwhen+forcePreemptNS <= now {
                                // 发起抢占
                                preemptone(_p_)
                        }
                }
        }
        // ...
}

这里的抢占又分为两种方式:一种是"好言相劝",一种是"强行执法"。

🤲 协作式抢占

这是Go早期版本就有的抢占方式,比较"温柔"。sysmon 在决定抢占后,会调用 preemptone 函数。这个函数首先会给目标Goroutine打上一个"抢占标记"。具体来说,就是把 gp.preempt 设置为 true,同时把 gp.stackguard0 设置为一个特殊值 stackPreempt

 1
 2
 3
 4
 5
 6
 7
 8
 9
10
11
12
13
14
15
16
17
// preemptone 抢占指定P上正在运行的g
func preemptone(_p_ *p) bool {
        // 获取P上绑定的M
        mp := _p_.m.ptr()
        // 获取M上正在运行的g,也就是我们的抢占目标
        gp := mp.curg

        // ...
        // 1. 设置协作式抢占标志
        gp.preempt = true
        
        // 2. 修改栈保护标志,这是协作式抢占的关键
        // 当g进行函数调用(特别是涉及栈检查)时,会检查这个值
        gp.stackguard0 = stackPreempt

        // ...
}

这个 stackguard0 标志位非常关键。Goroutine在执行函数调用时,尤其是可能导致栈扩容的场景下,会检查这个标志位。当它发现 stackguard0 变成了 stackPreempt,就知道:“哦,调度器想让我让位了”。于是,它就会很"自觉"地停止当前工作,调用 gopreempt_m,将自己重新放回全局队列,让出CPU。这个过程就叫做协作式抢占

协作式抢占修改

这个检查点通常在 newstack 函数中,也就是栈扩容的逻辑里:

 1
 2
 3
 4
 5
 6
 7
 8
 9
10
11
12
13
14
15
16
17
18
19
20
21
22
23
24
25
26
27
28
29
30
31
32
33
34
35
36
37
// newstack 在g0栈上为goroutine扩展栈空间时执行
func newstack() {
        // 获取当前需要扩容栈的goroutine
        gp := thisg.m.curg
        
        // 读取g的栈保护标志
        stackguard0 := atomic.Loaduintptr(&gp.stackguard0)

        // 如果标志被设置为stackPreempt,说明被标记为需要抢占
        if stackguard0 == stackPreempt {
                // 检查当前g是否满足被抢占的条件(比如没有持有锁等)
                if canPreemptM(thisg.m) {
                        // 条件满足,响应抢占,执行让渡操作
                        gopreempt_m(gp) // 这个函数不会返回
                }
        }
        // ...
}

// gopreempt_m 会走到 goschedImpl,后续流程和主动让渡(gosched)一样
func gopreempt_m(gp *g) {
        // ...
        goschedImpl(gp)
}

func goschedImpl(gp *g) {
        // g状态从_Grunning变为_Grunnable
        casgstatus(gp, _Grunning, _Grunnable)
        // 解绑M
        dropg()
        // 加锁后放入全局队列
        lock(&sched.lock)
        globrunqput(gp)
        unlock(&sched.lock)
        // 触发新一轮调度
        schedule()
}

但协作式抢占有个明显的缺点:如果一个Goroutine是个铁憨憨,一直在执行纯计算的死循环,没有任何函数调用,那它就永远没有机会去检查 stackguard0,也就无法响应抢占意图。这可怎么办?

🚨 非协作式抢占

为了解决协作式抢占的短板,Go 1.14 版本引入了基于信号的抢占机制,也就是非协作式抢占。这种方式就非常"硬核"了。

preemptone 函数中,除了设置协作标记,还会做一件事:向目标Goroutine所在的M(线程)发送一个信号 sigPreempt

 1
 2
 3
 4
 5
 6
 7
 8
 9
10
11
12
13
14
15
16
17
18
19
20
21
22
23
24
// preemptone 函数的另一部分
func preemptone(_p_ *p) bool {
    // ... (前面设置协作标记的代码)

        // 3. 基于信号实现非协作式抢占
        if preemptMSupported && debug.asyncpreemptoff == 0 {
                _p_.preempt = true
                // 向目标M发送抢占信号
                preemptM(mp)
        }
        return true
}

func preemptM(mp *m) {
    // ...
    // 向指定的线程(由mp.procid标识)发送sigPreempt信号
    signalM(mp, sigPreempt)
    // ...
}

func signalM(mp *m, sig int) {
        // 底层通过pthread_kill实现向线程发送信号
        pthread_kill(pthread(mp.procid), uint32(sig))
}

Go程序启动时,会注册一个信号处理器 sighandler 来处理各种信号,其中就包括了我们的 sigPreempt

非协作式抢占修改

当M接收到 sigPreempt 信号后,操作系统会中断M的当前执行,转而去执行sighandler。 信号处理函数会发现这是一个抢占信号,然后检查当前的Goroutine是否满足被抢占的条件(例如,没有在执行一些敏感的运行时代码)。

如果条件满足,最关键的一步来了:sighandler会像一个黑客一样,直接修改G的寄存器信息,主要是程序计数器(PC)和栈顶指针(SP)。它会强行在G的执行流中"注入"一段代码,这段代码就是 asyncPreempt 函数。

 1
 2
 3
 4
 5
 6
 7
 8
 9
10
11
12
13
14
15
16
17
18
19
20
21
22
23
24
25
26
27
28
29
30
31
32
33
34
35
36
37
// sighandler 是go的信号处理总入口
// 它在gsignal这个特殊的goroutine上执行
func sighandler(sig uint32, info *siginfo, ctxt unsafe.Pointer, gp *g) {
        // ...
        // 如果收到了抢占信号
        if sig == sigPreempt {
                // 执行抢占处理
                doSigPreempt(gp, ctxt)
        }
        // ...
}

// doSigPreempt 执行具体的信号抢占逻辑
func doSigPreempt(gp *g, ctxt *sigctxt) {
        // 判断g是否满足抢占条件
        if wantAsyncPreempt(gp) {
                if ok, newpc := isAsyncSafePoint(gp, ctxt.sigpc(), ctxt.sigsp(), ctxt.siglr()); ok {
                        // 通过修改g的寄存器,强行让它下一条指令去执行asyncPreempt
                        ctxt.pushCall(abi.FuncPCABI0(asyncPreempt), newpc)
                }
        }
        // ...
}

// pushCall 修改栈指针和程序计数器,实现"指令注入"
func (c *sigctxt) pushCall(targetPC, resumePC uintptr) {
        // 获取当前栈顶指针 sp (rsp寄存器)
        sp := uintptr(c.rsp())
        // 栈向下移动一个指针大小,为返回地址腾出空间
        sp -= goarch.PtrSize
        // 将原始的下一条指令地址(resumePC)存入新的栈顶
        *(*uintptr)(unsafe.Pointer(sp)) = resumePC
        // 更新栈顶指针
        c.set_rsp(uint64(sp))
        // 将程序计数器(rip寄存器)设置为我们要注入的函数的地址 (targetPC)
        c.set_rip(uint64(targetPC))
}

这样一来,当信号处理结束,G恢复执行时,它下一条要执行的指令不再是原来被打断的地方,而是被篡改为了 asyncPreempt 函数。这个函数会立即调用 mcall 切换到 g0 栈,执行 gopreempt_m,最终完成让渡操作,和协作式抢占殊途同归。

1
2
3
4
5
6
7
8
9
// asyncPreempt2 是被强行注入的代码逻辑
// 此时的执行方是被抢占的g自己
func asyncPreempt2() {
        gp := getg()
        // ...
        // 切换到g0栈,调用gopreempt_m完成让渡
        mcall(gopreempt_m)
        // ...
}

至此,哪怕是最顽固的"钉子户"Goroutine,也会被这种强制手段给请下CPU,保证了调度器的公平性。

抢占是Go调度器为了公平和效率,由sysmon线程发起的强制性调度行为。

  1. 系统调用抢占:通过解绑P和M,让P可以继续服务其他Goroutine,避免因单个M阻塞导致整个P被浪费。

  2. 运行超时抢占:针对长时间运行的Goroutine,Go提供了两手准备:

    • 协作式抢占:温柔地打个标记,让Goroutine在函数调用时"自觉"让出CPU。

    • 非协作式抢占:对于不自觉的Goroutine,直接发送信号,通过修改PC和SP寄存器的方式,强行中断其执行,注入让渡逻辑。

正是有了这套精密的、软硬兼施的抢占机制,Go的并发调度才能如此健壮和高效,让我们能够放心地创建和使用海量的Goroutine。

最后更新于 2026-05-09 09:22 UTC
그 경기 끝나고 좀 멍하기 있었는데 여러분 이제 살면서 여러가
使用 Hugo 构建
主题 StackJimmy 设计